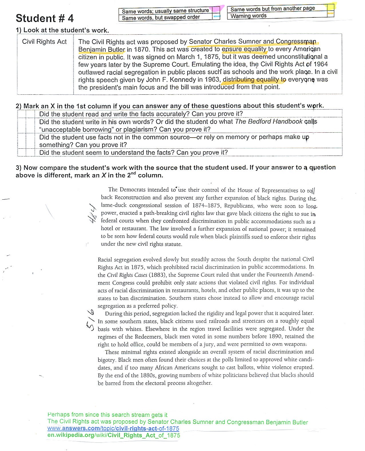
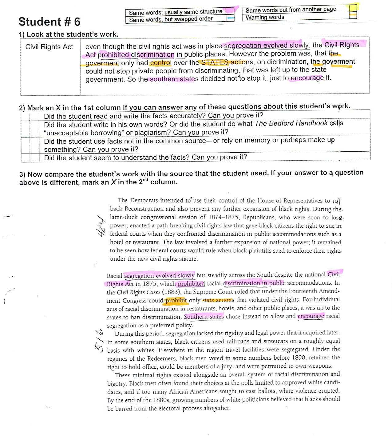
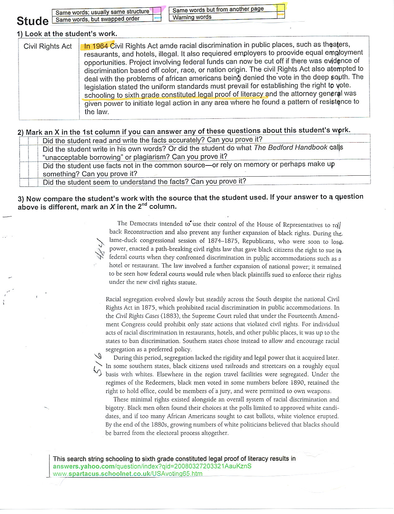
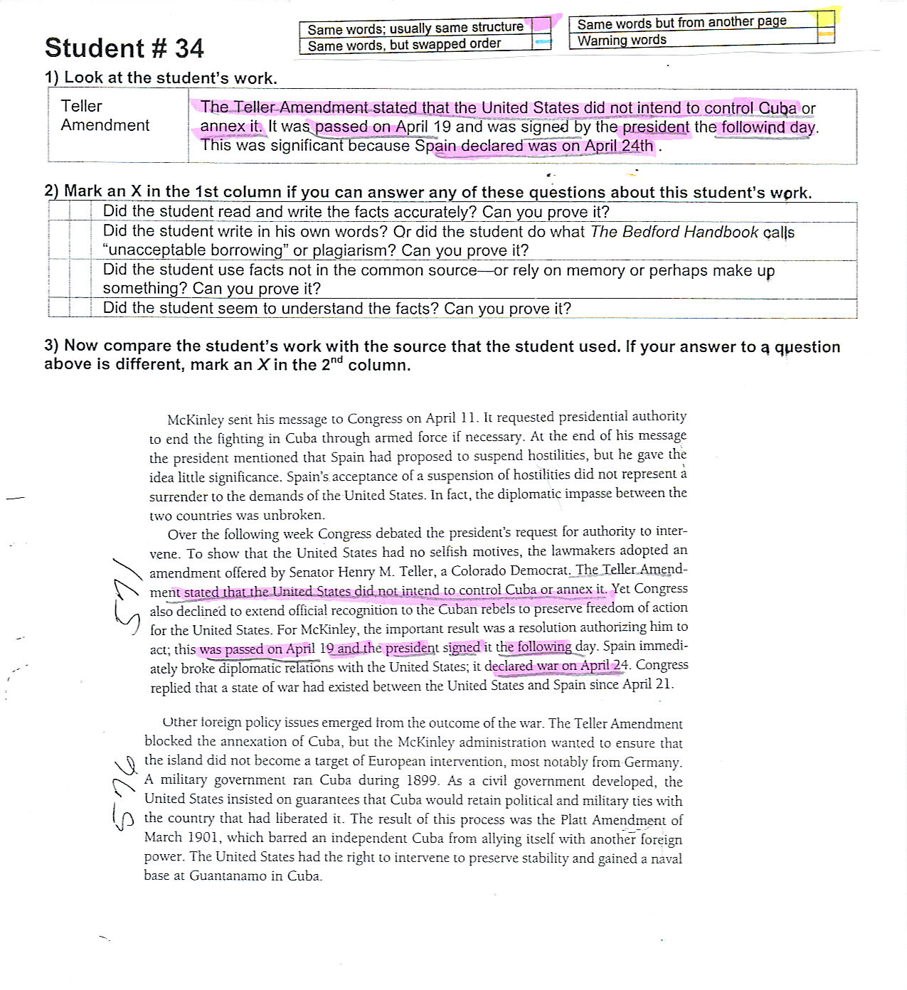
Proving to Yourself Whether Having the Same Source Helps Teachers Recognize Reading Errors

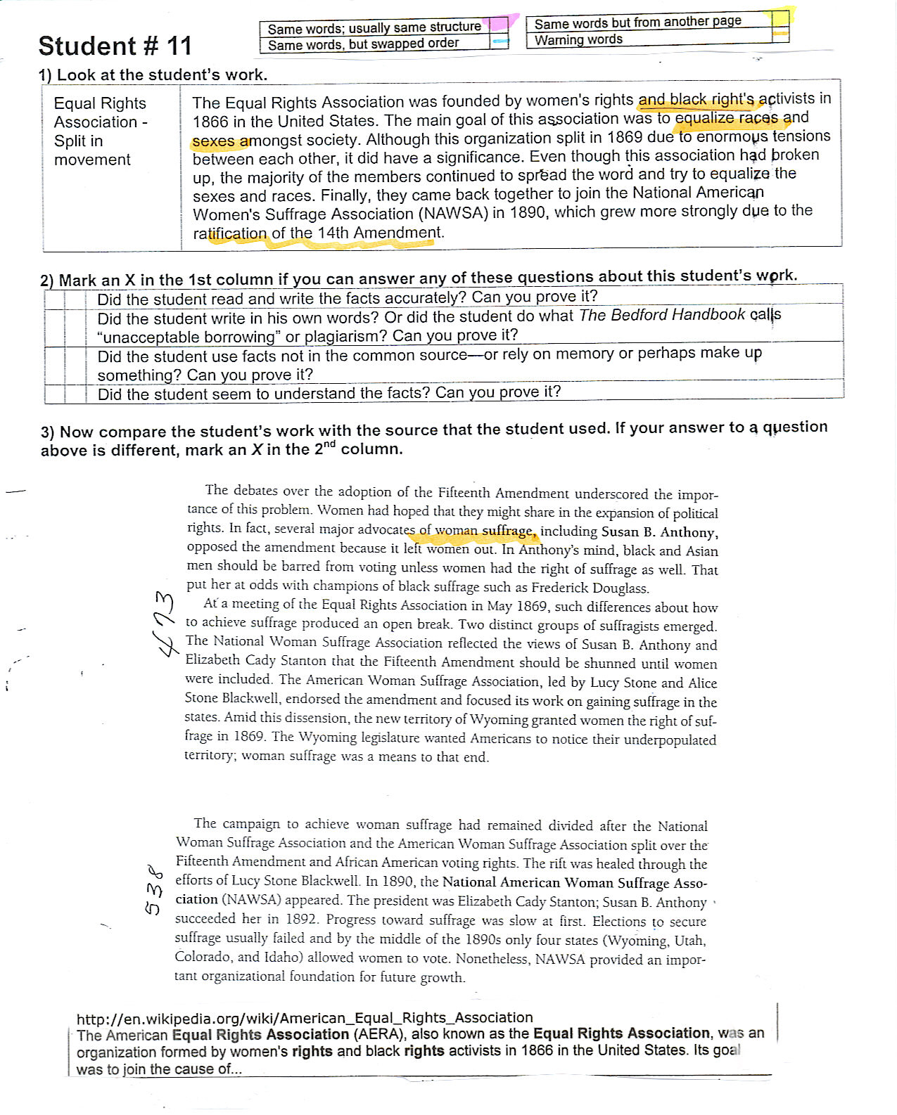
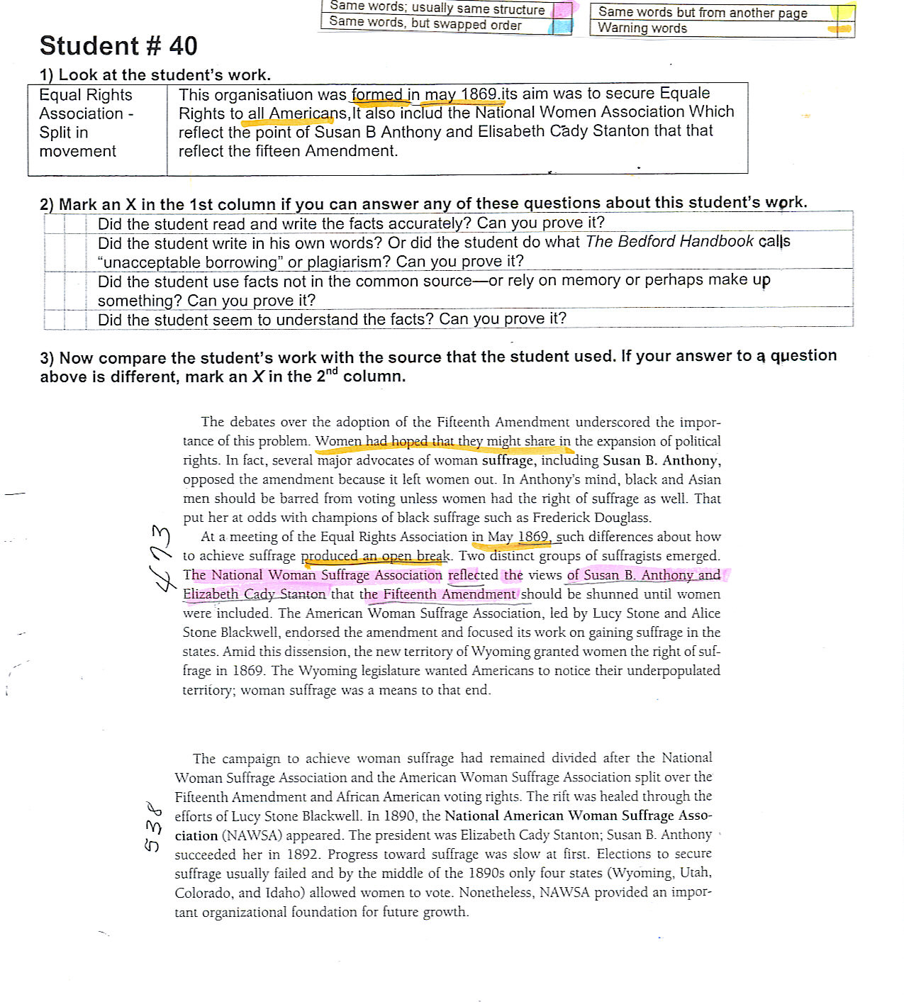
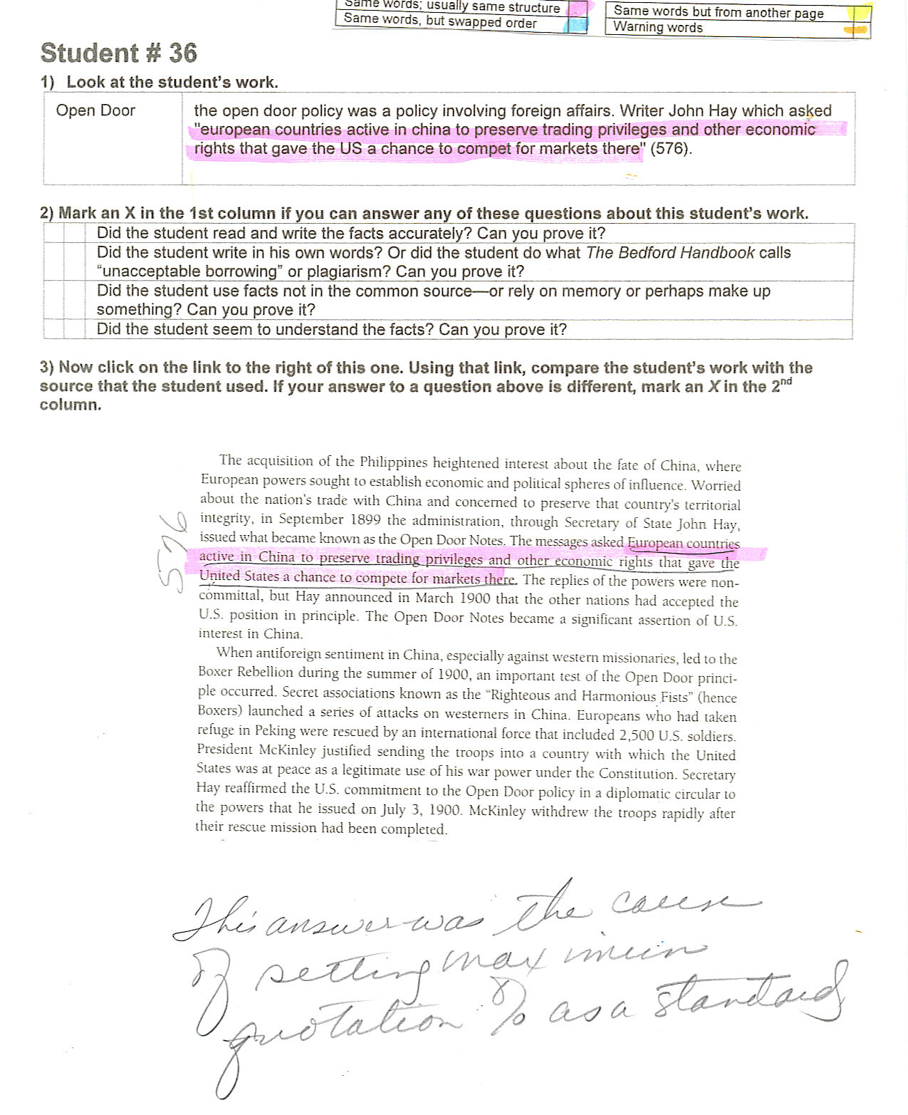
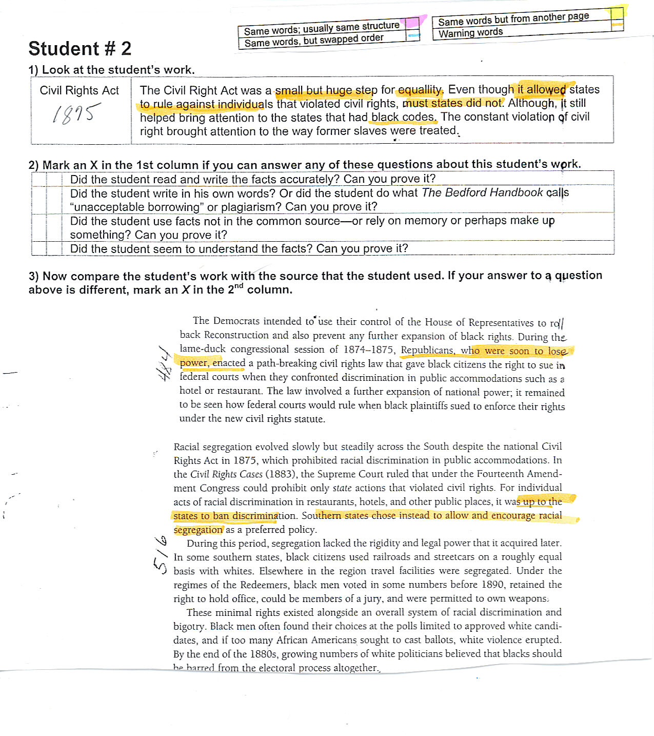
This is a sample of one class of distance learning students. In general, where you find that a student did some form of copying, you will also find factual error. Copying encourages passive reading and passive reading means students do not understand. Their work is—for lack of a better word—a fake product.

 

Requiring students to use sources that you can see (such as textbooks, readings, or links) means:

·         Anyone can readily see and prove plagiarism from another source or “half-copy” plagiarism from one of the required sources

·         Only an experienced subject matter expert can readily spot factual errors.
On the other hand, careful selection of the questions for the test can increase the speed of a less experienced subject matter expert. The goal of these questions can be:
- Students’ learning some basic history and understanding it accurately
- Your being able to show them that they do not understand what the world of academics and of business requires as evidence (In some cases, you can also show them the ways to work that you learned as a student and make their lives easier and more successful.)

 

What the Color Coding Means?

The color coding in their answers and in the source means:

Pink highlight

The student used in his or her submission the same words as the source and usually the same structure (“half-copy” plagiarism in the words of The Bedford Handbook).

Orange

highlight

The student used in his or her submission the same words but they were grabbed from another page of the source (“half-copy” plagiarism in the words of The Bedford Handbook)..

Blue __ underlining

The student used in his or her submission the same words but swapped the order (“half-copy” plagiarism in the words of The Bedford Handbook).

Orange __ underlining

The words that the student used are warning signs of some factual error or equivalent problem.

 

How Are the Examples Organized?

·         The top is what the students wrote. Sometimes it sounds OK until you compare.

·         The bottom is what they were looking at when they wrote. Sometimes your seeing where they were reading requires a second or third page.

 

Students’ Work and Their Source Page(s)

 

Students’ Work and Their Source Page(s)

1 

 

21

2a  2b

 

22

3

 

23

4

 

24

5

 

25

6

 

26

7

 

27a 27b 27c

8

 

28a 28b 28c

9

 

29

10

 

30

11

 

31

12

 

32

13

 

33

14

 

34

15

 

35

16

 

36

17

 

37a 37b

18a 18b 18c

 

38

19

 

39 – Data problem with the submission

20

 

40

 

 

 

WCJC Department:

History – Dr. Bibus

Contact Information:

281.239.1577 or cjb_classes@yahoo.com

Last Updated:

2010

WCJC Home:

http://www.wcjc.edu/